京都大学の解答

pdf版

感想としては2<5<6<1<4<3くらいだと勝手に思ってる。 全体的に難易度は高くなかったが、小問復活や確率漸化式がなくなるなど、傾向変化が大きい問題セットであった。

各問題の解答と解説と訂正

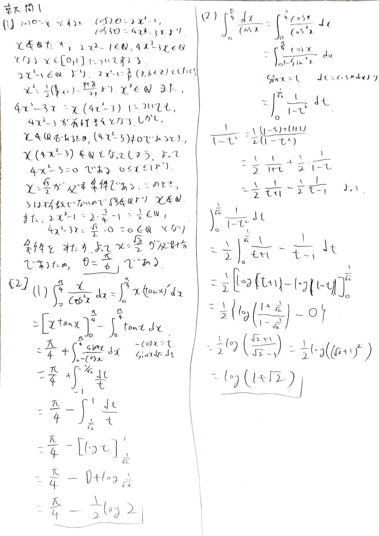
問1

問1は小問集合である。今は2010年代初頭だったのだろうか? [1]は楽しい問題である。とは言っても[2]は典型的すぎないだろうか?(1)は部分積分が必要なのでちょっと頭をひねる必要があるが、 小問と言えども(2)のような教科書レベルの内容が出たのは驚いた。大学内部では何が起こっているのかが気になる。

問2

問2は整数問題。とは言っても今年も京大数学お得意のmodとるだけである。 去年の整数枠はmod3とれば終わりだったが、今年はmod2を取れば終わりである。 というかよく眺めてみると今年と去年の整数枠って結構そっくりだよなって思ったりする。

問3

問3はベクトルと通過領域の問題である。というか論証が厳しい。うまいこと点A,Bを自由度を減らさない程度に座標におけばいいのだろうか。 大学数学を少しかじっている身としてはこの問題は一次変換の重積分をヤコビアンで求めているようにも見えたりするのである。

問4

問4は確率である…というか確率漸化式ではないっぽい(確率漸化式での解法もあると聞いたが、どんなものなのか気になる) 確率が漸化式でないのは2013年問6ぶりである。なんでや!3つの状態からの遷移から立式する京大特有の確率漸化式の問題が好きだったのに… ところで、来年の問題はどうなるのか気になるところである。 また、twitterで上げたときにはミスをしていたのでこのHPにアップした際に訂正した。

問5

問5は単位球に内接する四角錐の体積の最大化問題である。作問サークルが過去に類題を出題していたらしいとの話を聞く。 ちなみに$V$を求めたあと微分しているが、相加相乗平均不等式を使って最大値を求めるという手法もあるらしい。 少し典型的な問題であり、かつ少しサービス問題っぽいが自分としては京大ぽさがある問題に感じる。 少なくとも自分は解いて楽しかった。

問6

問6は複素数の問題である。問題用紙次ページの常用対数表が火を噴くぜ!!冒頭に出てきたやばい数列については、 共役な複素数同士の足し算であるため必然的に実数となる。あとは一般項をcosを使った形で表すことができるかが肝である。 指数的な数列のため対数表を使おう。その後は数列が正である条件を吟味すれば正しい答えを導ける。最後のツメが甘いとミスしがち…という印象がある。


2019年のページに戻る
解答速報のページに戻る
トップページに戻る